近日,卫生检验与检疫系陈丽丽教授团队以beats365为第一单位,在国际免疫学领域知名期刊《Infection and Immunity》发表题为“Chlamydia psittaciInduces Autophagy in Human Bronchial Epithelial Cells via PERK and IRE1α, but not ATF6 pathway”的原创性研究论文。陈丽丽教授作为唯一通讯作者,beats365衡阳医公司beats365为第一通讯单位。
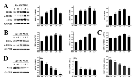
Cps是一种人兽共患病原体,能引起人类和动物罹患多种疾病。近年来,Cps感染人类的病例报道越来越多,因此深入探讨Cps致病的分子机制对防治其感染具有重要意义。在这项研究中,陈丽丽教授团队通过细胞实验,检测到Cps感染可导致人支气管上皮细胞(HBE)发生自噬(图1),并激活未折叠蛋白反应(UPR)中PERK和IRE1α信号通路,抑制ATF6信号通路(图2)。该团队进一步验证PERK和IRE1α信号通路还参与调节Cps包涵体在HBE细胞内的发育(图3)。

图1. Cps感染诱导HBE细胞发生自噬

图2. Cps感染HBE细胞激活PERK和IRE1α,抑制ATF6信号通路

图3. PERK和IRE1α信号通路参与调节Cps在HBE细胞内的发育
这项研究首次揭示Cps和细胞自噬、UPR反应及其信号通路之间的关系,阐明了自噬是阻碍Cps在HBE细胞内发育的关键细胞机制。该研究结果对于人们深入理解Cps感染的分子机制有重要意义,为进一步阐明Cps的致病机制奠定了基础。
《Infection and Immunity》是免疫学领域的权威期刊,由“美国微生物学会”(全球最大的生命科学学会之一)出版管理。该期刊致力于出版感染与免疫领域高水平研究型论文,为微生物学家、免疫学家、流行病学家、病理学家和临床医师提供学术参考。
论文链接:https://journals.asm.org/doi/10.1128/iai.00079-22